1978-2008年中国隐性失业人口估算及影响因素分析
【内容提要】本文旨在探讨我国改革开放以来隐性失业人口水平及其影响因素。从隐性失业人口水平估算结果来看,自1978年以来,隐性失业人口数量从3902.8万呈波浪式增加,到2002年达到21598.4万高峰,此后隐性失业人口开始迅速下降,直至隐性失业人口总体消除;隐性失业率在2003年之前基本在9-30%之间呈波浪式、缓慢增加的趋势波动,第一个波峰在1982-1984年,第二个波峰在1990-1991年,第三个波峰在2001-2002年,此后隐性失业率快速下降,自2004年以来隐性失业率几乎为0。从隐性失业人口水平影响因素来看,科技进步、市场化、产业结构演进、公开失业水平和经济增长等不同程度降低社会的隐性失业率,而政府干预则提高了社会的隐性失业率。
【关键词】隐性失业人口;隐性失业率;影响因素
一、引言
从我国历年官方公布的城镇失业率来看,我国的失业率并不高。但这个数据难以如实反映我国劳动力市场中劳动者真实失业状况,也难以为我国宏观经济决策提供可靠的参考依据。其原因主要有两点:一是由于统计口径和方法的不完善,我国公布的公开失业率与实际真实的失业率存在偏差;二是因为不同经营主体在劳动者就业上并没有完全市场化,存在就业者隐性失业现象。因此,探讨我国真实的失业率水平和隐性失业人口状况一直是有关领域的重要研究课题。
本文旨在探讨我国改革开放以来隐性失业人口状况问题。隐性失业一词最早由英国经济学家J. Robinson于1937年提出,后来,E.O. Edwards、Nisberg、A.K.Sen等都对隐性失业的产生和概念做了进一步诠释;[1]国内一些研究者对我国隐性失业问题也给与了关注,一般认为它是在我国传统计划经济体制下形成而又在渐进性经济改革方式下得以延续的一种特有的失业。[2]总的来看,隐性失业就是名义上就业,实际上失业,具体表现为劳动力供应超过劳动力的有效需求。研究者主要考察了隐性失业人口水平问题,Lewis、Fei and Ranis、Todaro考察了发展中国国家二元经济中农业部门隐性失业和劳动力转移问题,[3]McConnell and Brue研究了美国80年代隐性失业状况,并分析了产生原因和形成机理,[4]菲韦尔以波兰为例,研究计划经济中隐性失业现象,认为充分就业政策是导致隐性失业的原因。[5]在我国,除了国家有关部门通过抽样调查方法了解我国城镇和农村的隐性失业人口外,一批研究者也积极评估我国隐性失业人口状况,牛仁亮估算了我国农村20世纪80年代隐性失业人口和隐性失业率,[6]李纯英、杜鹰、龚维斌、王红玲、余大兴等学者研究了我国20世纪90年代后期的农业剩余劳动力情况,[7]王诚分别探讨了我国城镇和农村在1985-1994年以及1998年隐性失业人口规模和隐性失业率、并据此测算了全国的隐性失业人口和隐性失业率,[8]隗斌贤采用生产函数法研究了我国1978-1998年的隐性失业率,[9]孙立分别估算了1979-2002年期间我国城镇国有工业企业和农村的隐性失业人口规模和隐性失业率。[10]
应当说,现有相关文献对我国隐性失业人口做了有益的探索,但其中也存在明显不足,主要表现在:第一,不同文献研究方法不同,所得结论彼此不一致;第二,多数文献只是关注特定地区或产业进行研究,只有少数文献研究了全国性的隐性失业人口状况;第三,多数文献关注的是20世纪八、九十年代的我国隐性失业人口状况,而对于2000年以来我国隐性失业人口状况鲜有研究,特别在现阶段,我国劳动力市场上出现了新的变化,城镇职工和农民工失业与“民工荒”现象同时并存,这些新情况、新问题也促使我们需要了解我国当前隐性失业人口状况。为此,本文将探讨1978-2008年我国隐性失业人口问题,考察我国隐性失业人口水平及其影响因素,以期弥补相关研究不足。
二、隐性失业人口统计和估算方法
(一)现有文献的方法
一个国家或地区隐性失业人口既可以采用将构成隐性失业的几个部分加总起来,也可以采用综合的方法进行总体测算。总结现有的研究文献,在统计和估算隐性失业人口方法上主要有:抽样调查法、有效工时法、比较分析法、供求差量法、计量模型构造法、劳动边际生产率法和生产函数法等。抽样调查法就是通过对城市或农村采用抽样问卷调查方法,来估计隐性失业人口。有效工时法是先估算企业或农村生产的有效工时,然后用实际工时减去有效工时,算出隐性失业人口,其他方法如人均耕地负担法、人均产出法、员工设备定员法,实际上均遵循这一思路。比较分析法可分为两种方式,一种是在产业产值比重或人均国民生产总值相当的国家或历史时期找出一般劳动力比重参照标准,然后将某个国家或地区的劳动力比重与之进行比较,一种是参考Chenery和Syrquin的多国标准模型将某个国家或地区某产业实际劳动力比重和产值比重分别同国际标准比重进行对比,然后确定隐性失业人口。[11]供求差量法通常是先用劳动年龄的人口与劳动参与率得到劳动力供应量,然后根据相对GDP增长就业需求弹性预测劳动力需求量,同时考虑存在的显性失业人口,进而求出隐性失业人口。计量模型构造法大体有两种方法,一种是采用主成分分析和因子分析方法,得到劳动人数在劳动者能力公共因子上的载荷的绝对值,来判断隐性失业人口;[12]一种是采用结构方程模型估算隐性失业人口,该方法在度量隐性经济规模上已得到广泛应用。[13]劳动边际生产率法是如果劳动者的边际生产率能够带来剩余产品就属于有效就业劳动力,否则就为隐性失业,以此来判断隐性失业人口数量;[14]与此类似,有的研究者则将劳动收入在贫困线以下的就业者也作为失业人口,这实际上反映了隐性失业人口。[15]生产函数法可以有两种研究思路,一种是建立社会或某个行业的生产函数,然后基于整个系统利润最大化求出有效劳动力需求量,进而求出隐性失业人口;[16]另一种是依据刘易斯等人的二元经济理论的原理,[17]分别建立农业和非农业系统生产函数,从利润最大化出发,探讨现有劳动力在农业和非农业最优配置,进而求出农业部门的剩余劳动力。在上述方法中,抽样调查法、有效工时法和比较分析法主要是从生产效率角度来考察的,供求差量法和计量模型构造法则根据经验系数或对有关参数系数估计来计算的,劳动边际生产率法和生产函数法则是从社会、产业或厂商的效用最大化出发。显然,不同的估算方法必然会带来不同的估算结果,例如,一个有效工时小于实际工时员工却可能是边际生产率大于零的员工,如果按有效工时法则为隐性失业的员工,如果按劳动边际生产率法则为有效供给的员工。因此,在估算隐性失业人口时,选择合理方法十分重要。
(二)本文的测算方法
不同统计和测算方法的原理不同、结果不同增加了测算隐性失业人口的难度,但是如果按照美国经济学家刘易斯将发展中国家传统农业部门那些边际生产率为零的过剩劳动力描述为隐性失业,那么用劳动边际生产率法和生产函数法测算的隐性失业人口也许更符合经济意义上的隐性失业人口。为此,本文将生产函数法和劳动边际生产率结合起来,测算我国隐性失业人口。假设社会生产满足柯布-道格拉斯生产函数,即
![]()
其中
表示整个社会产出、A表示技术水平、K表示物质资本存量、L表示劳动力就业数量,t表示时间,α、β 分别表示资本和劳动产出弹性。则劳动力边际产出
。假定劳动力工资为
,那么在满足利润最大化条件下的有效劳动力供给量
,这就意味着在产出为
时对应的有效劳动力需求为
。假定社会生产事实是在产出为
时实际使用的劳动力为
,则隐性失业人口为
,隐性失业率为
。进一步将劳动力的人力资本因素考虑进去,则生产函数可表达为
![]()
其中
表示劳动力平均人力资本水平。则有效劳动力供给量
,进一步可求出相应的隐性失业人口和隐性失业率。
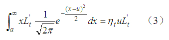
在上述分析中,实际上暗含了所有的劳动力是同质的。然而事实是,不同劳动力个体间彼此素质是异质的,且高素质的劳动力在同等条件下一般更容易获得组织的工作安派。那么在此种情形下又如何计算隐性失业人口和隐性失业率?假定在就业人口中劳动力个体效率和工资额按其个体素质高低等比例赋予,且劳动力个体素质x服从N (u, 1)的正态分布(u表示劳动力平均素质水平,应足够大,以保证几乎所有劳动力个体素质均大于零)。假定t年劳动力就业数为 ,在劳动力素质没有差异的情况下有效就业率为
(对应的隐性失业率为
),那么整个社会需要的劳动力素质总量为
(实际上,素质总量与劳动量等价)。当劳动力素质为异质且高素质劳动力优先分配工作时,则只有素质大于a的劳动力获得工作任务安排,且该部分劳动力提供的素质总量应等于劳动力素质无差异情况下所需要的素质总量
,即

进一步展开,得到
。这样,当
和u已知,就可以求出a值。如此,可以得到有效就业比重为
,对应隐性失业率为
,隐性失业人口为
。这样就得到了在劳动力素质为异质情况下的隐性失业人口和隐性失业率。在实际测算中,为了保证几乎所有员工劳动力素质高于零,本文取u=5,保证了99.99995%的劳动力素质高于0。
三、隐性失业人口水平的估算
下面来估算1978-2008年我国隐性失业人口水平。
(一)指标数据处理
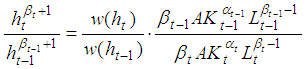
全国各年就业人数、国内生产总值直接取自《中国统计年鉴》等有关资料,全国的不同年份的物质资本存量采用王小鲁、樊刚等编制的1978年价格水平数据,并补充缺少的2008年数据;[18]各年就业人员工资由社会劳动者报酬和就业人数相除获得,其中社会劳动者报酬可以从《中国国内生产总值核算历史资料1996-2002》、《中国国内生产总值核算历史资料1952-2004》和《China’s National Income:1952-1995》中分省数据获取。[19]各年人力资本存量采用生产函数工资法计算获得,并且该法估算的人力资本存量可靠度明显优于教育年限法、物质投资计算法等其他方法。[20]具体做法是:假定t期的生产函数
,
。其中,A表示技术水平、为固定值,
代表t期劳动力平均人力资本水平。假定工资等于劳动边际生产力,则有
,进一步有
,故有
。这样,当获得当期平均工资
、劳动者收入份额
、资本获得份额
、以及物质资本和劳动力人数时,就可以求出相邻两期劳动力平均人力资本存量比。假定基期劳动力平均人力资本为1,这样就可以算出随后或之前各期的劳动力的平均人力资本存量和整个社会人力资本存量。
(二)隐性失业人口水平的估算
首先分别估算劳动力和人力资本的产出弹性。分别对生产函数(1)、(2)两边取对数,并用时间序列数据进行回归。依据数据可得性和增加样本容量原则,方程(1)使用的时间序列数据为1952-2008年(扣除1959-1961三年自然灾害期),方程(2)使用的时间序列数据为1978-2008年。由于采用的是时间序列分析,采用一阶差分将序列变成弱相关后,再进行回归。回归结果见表1。
表1 两种生产函数对数回归结果

根据表1的劳动力和人力资本产出弹性数据,利用上述测算隐性失业人口数量的方法,可以分别得到只考虑劳动力且劳动力同质、只考虑劳动力且劳动力异质、考虑人力资本且劳动力同质、考虑人力资本且劳动力异质等四种不同情况下我国隐性失业人口规模和隐性失业率(具体结果详见表2)。
表2 四种不同情况下我国隐性人口规模和隐性失业率
| 年份 | 就业人口(万) | 只考虑劳动力且劳动力同质 | 只考虑劳动力且劳动力异质 | 考虑人力资本且劳动力同质 | 考虑人力资本且劳动力异质 | ||||
| 隐性失业人口 | 隐性失业率% | 隐性失业人口 | 隐性失业率% | 隐性失业人口 | 隐性失业率% | 隐性失业人口 | 隐性失业率% | ||
| 1978 | 40152 | 10722.9 | 26.71 | 13687.8 | 34.09 | 2519.9 | 6.28 | 3902.8 | 9.72 |
| 1979 | 41024 | 12487.9 | 30.44 | 15613.7 | 38.06 | 4533.9 | 11.05 | 6522.8 | 15.90 |
| 1980 | 42361 | 12652.1 | 29.87 | 15864.2 | 37.45 | 4371.2 | 10.32 | 6345.7 | 14.98 |
| 1981 | 43725 | 14310.0 | 32.73 | 17699.9 | 40.48 | 6111.0 | 13.98 | 8522.0 | 19.49 |
| 1982 | 45295 | 15954.0 | 35.22 | 19513.1 | 43.08 | 7775.6 | 17.17 | 10549.2 | 23.29 |
| 1983 | 46436 | 16379.1 | 35.27 | 20027.8 | 43.13 | 8001.2 | 17.23 | 10842.8 | 23.35 |
| 1984 | 48197 | 16633.0 | 34.51 | 20406.6 | 42.34 | 7835.0 | 16.26 | 10704.6 | 22.21 |
| 1985 | 49873 | 15656.2 | 31.39 | 19450.5 | 39.00 | 6118.8 | 12.27 | 8682.9 | 17.41 |
| 1986 | 51282 | 15415.4 | 30.06 | 19312.8 | 37.66 | 5418.0 | 10.57 | 7841.0 | 15.29 |
| 1987 | 52783 | 15727.7 | 29.80 | 19730.3 | 37.38 | 5399.0 | 10.23 | 7848.8 | 14.87 |
| 1988 | 54334 | 16405.4 | 30.19 | 20532.8 | 37.79 | 5833.4 | 10.74 | 8427.2 | 15.51 |
| 1989 | 55329 | 16637.9 | 30.07 | 20836.9 | 37.66 | 5853.3 | 10.58 | 8470.9 | 15.31 |
| 1990 | 64749 | 22222.0 | 34.32 | 27285.2 | 42.14 | 10368.2 | 16.01 | 14193.0 | 21.92 |
| 1991 | 65491 | 20814.1 | 31.78 | 25855.8 | 39.48 | 8361.1 | 12.77 | 11801.5 | 18.02 |
| 1992 | 66152 | 18873.1 | 28.53 | 23821.3 | 36.01 | 5694.8 | 8.61 | 8460.8 | 12.79 |
| 1993 | 66808 | 20337.2 | 30.44 | 25427.1 | 38.06 | 7384.2 | 11.05 | 10622.5 | 15.90 |
| 1994 | 67455 | 20215.6 | 29.97 | 25336.1 | 37.56 | 7048.3 | 10.45 | 10219.4 | 15.15 |
| 1995 | 68065 | 22460.8 | 33.00 | 27750.1 | 40.77 | 9749.3 | 14.32 | 13551.7 | 19.91 |
| 1996 | 68950 | 23589.9 | 34.21 | 28979.7 | 42.03 | 10946.4 | 15.88 | 15010.4 | 21.77 |
| 1997 | 69820 | 25100.6 | 35.95 | 30602.1 | 43.83 | 12635.8 | 18.10 | 17015.1 | 24.37 |
| 1998 | 70637 | 26617.2 | 37.68 | 32217.5 | 45.61 | 14347.3 | 20.31 | 19008.4 | 26.91 |
| 1999 | 71394 | 26966.5 | 37.77 | 32627.1 | 45.70 | 14583.0 | 20.43 | 19569.1 | 27.41 |
| 2000 | 72085 | 27006.4 | 37.46 | 32719.4 | 45.39 | 14441.4 | 20.03 | 19095.3 | 26.49 |
| 2001 | 73025 | 28021.4 | 38.37 | 33825.2 | 46.32 | 15477.3 | 21.19 | 20381.3 | 27.91 |
| 2002 | 73740 | 28994.1 | 39.32 | 34864.3 | 47.28 | 16521.9 | 22.41 | 21598.4 | 29.29 |
| 2003 | 74432 | 22126.1 | 29.73 | 27763.1 | 37.30 | 7546.6 | 10.14 | 10978.7 | 14.75 |
| 2004 | 75200 | 15120.0 | 20.11 | 20063.4 | 26.68 | 0.0 | 0.00 | 0.0 | 0.00 |
| 2005 | 75825 | 16786.1 | 22.14 | 21974.1 | 28.98 | 329.9 | 0.44 | 712.8 | 0.94 |
| 2006 | 76400 | 16345.8 | 21.40 | 21506.6 | 28.15 | 0.0 | 0.00 | 0.0 | 0.00 |
| 2007 | 76990 | 15952.9 | 20.72 | 21079.9 | 27.38 | 0.0 | 0.00 | 0.0 | 0.00 |
| 2008 | 77480 | 15496.0 | 20.00 | 20640.7 | 26.64 | 0.0 | 0.00 | 0.0 | 0.00 |
从表2中可以看到,四种不同情形下测算的隐性失业人口和隐性失业率的变化趋势基本相同,但四种不同情形下测算的隐性失业人口和隐性失业率数值存在高低不同,主要体现在两点:一、当在生产函数中只考虑劳动力时,测算的隐性失业人口和隐性失业率高于在生产函数中将人力资本因素考虑进去后的情况;二、当劳动力为同质时测算的隐性失业人口和隐性失业率低于劳动力视为异质的情形。前者的原因是,将人力资本因素考虑进去后,人力资本产出弹性高于单纯的劳动力的产出弹性;后者的原因是因为在劳动力异质的情况下,当生产需要一定质量劳动力时,高素质劳动力首先获得工作任务,并提供高质量劳动,从而减少数量上的劳动力需求。从现实情况来看,不同劳动力素质差异和人力资本的影响是客观存在的。因此,第四种情形(考虑人力资本且劳动力异质)下测算的隐性失业人口和隐性失业率更为合理。下面以第四种情形的结果进行分析。
从隐性失业人口来看,自1978年以来,隐性失业人口数量从3902.8万呈波浪式增加,到2002年达到21598.4万高峰,此后隐性失业人口开始迅速下降,直至隐性失业人口为0。从隐性失业率来看,隐性失业率在2003年之前基本在9-30%之间呈波浪式、缓慢增加的趋势波动,第一个波峰在1982-1984年,第二个波峰在1990-1991年,第三个波峰在2001-2002年,此后隐性失业率快速下降,自2004年以来隐性失业率几乎为0。我国隐性失业人口和隐性失业率如此变化是有迹可循的。如果回顾1978年以来中国改革开放和经济发展的历史就可以清楚了解其中的来龙去脉。在改革开放前,虽然我国实行的是计划经济,但与同期劳动者的报酬相比,城镇职工和农村居民的劳动产出并不低(例如农民除了参加集体农活外,在农闲时还需要兴修水利等),这些为后来的改革开放打下了坚实的物质基础,因此,1978年整个社会隐性失业人口和隐性失业率并不高。随着改革开放以及计划经济向市场经济不断推进,原来的生产主体越来越难以适应新的环境变化,隐性失业人口和隐性失业率呈现逐渐累积趋势,另一方面改革开放以及市场经济推进带来的经济发展又有效减缓隐性失业人口和隐性失业率提高,两种趋势叠加导致了隐性失业人口和隐性失业率呈增加趋势,并形成三次隐性失业人口和隐性失业率的波峰,有意思的是三次波峰的时间点与1984年城市经济体制改革、1992年邓小平南巡讲话、2001年中国加入世贸的时间点非常巧合,这在一定程度印证了改革在不断推高隐性失业人口和隐性失业率同时,也不断减缓隐性失业人口和隐性失业率的上升。自2003年以后,随着我国经济快速增长,“民工荒”开始出现,我国总体隐性失业人口和隐性失业率快速下降,甚至为零[21]。
(三)与其他统计和计算方法比较
在计算我国隐性失业人口和隐性失业率中,有关研究者大多关注我国农村隐性失业人口和隐性失业率,还有部分研究者也关注城镇隐性失业人口和隐性失业率,少数研究者对全国的隐性失业状况做了跨时段估算。下面我们将王诚、隗斌贤的全国隐性失业水平估算以及依据其他学者的综合概算与本文的测算结果进行比较。王诚在各项调查基础上提出计算农村隐性失业人口公式,采用《中国统计年鉴》等公布资料和农村固定资产劳动力容纳系数,推算了1985-1994年中国农村的隐蔽失业率;然后根据国际劳工组织和中国劳动部1995年“企业富余劳动力”调查中获得的我国城镇各类企业的综合隐蔽失业率18.8%数据,给出1985-1994年全国隐性失业人口和隐性失业率数据;[22]之后,王诚又估算了1998年全国的隐性失业状况,认为农村隐性失业率为22.9%,而城镇隐性失业基本显性化。[23]隗斌贤利用生产函数法估算了1978-1998年部分年份的全国隐性失业率。[24]还有相当部分研究者虽没有给出完整的全国隐性失业人口估算,但给出一定地区和时段的隐性失业人口估算,根据牛仁亮对80年代和其他众多学者对90年代农村隐性失业率计算,以及1995年国际劳工组织和中国劳动部对城镇各类企业的调查,取80年代、90年代农村隐性失业率分别为13%、22.5%,城镇隐性失业率为18.8%,可以得出一个大致的全国隐性失业率综合概算结果。[25]表3给出了王诚、隗斌贤和综合概算结果。
表3 王诚、隗斌贤以及综合估算的全国隐性失业人口和隐性失业率
| 年份 | 1985 | 1986 | 1987 | 1988 | 1989 | 1990 | 1991 | 1992 | 1993 | 1994 | |||
| 王诚 | 隐性失业人口 | 26737 | 26516 | 26231 | 25830 | 26300 | 25071 | 24215 | 22238 | 19379 | 17006 | ||
| 隐性失业率 | 53.6 | 51.7 | 49.7 | 47.5 | 47.5 | 44.2 | 41.5 | 37.4 | 32.2 | 27.7 | |||
| 隗斌贤 | 年份 | 1978 | 1980 | 1985 | 1986 | 1987 | 1988 | 1989 | 1990 | 1995 | 1996 | 1997 | 1998 |
| 隐性失业率 | 23.0 | 24.1 | 14.2 | 13.3 | 11.2 | 8.3 | 10.3 | 20.9 | 20.1 | 22.2 | 23.4 | 23.8 | |
| 综合估算 | 年份 | 1985 | 1986 | 1987 | 1988 | 1989 | 1990 | 1991 | 1992 | 1993 | 1994 | 1995 | 1996 |
| 隐性失业率 | 14.49 | 14.50 | 14.51 | 14.52 | 14.51 | 21.53 | 21.51 | 21.50 | 21.49 | 21.48 | 21.46 | 21.43 |
由表3可以看到,在八、九十年代里,本文计算的结果明显低于王诚,但略高于隗斌贤,就其原因主要有以下两点:第一,王诚计算隐性失业人口和隐性失业率主要依据农村固定资产劳动力容纳系数和“企业富余劳动力”的调查数据来估算的,而本文则依据劳动力边际生产率来估算的;由于我国劳动者报酬不高,必然使得一些员工从有效工时或者生产资料劳动力容纳率来看是冗员,但从边际生产率来看却是有效人员,这就导致本文测算的结果低于王诚的计算结果,而本文测算的结果也能更好解释中国经济增长中“人口红利”的现象。第二,隗斌贤的研究没有考虑劳动力的人力资本以及不同劳动力间的素质差异,这样容易导致隐性失业人口和隐性失业率估计偏差。本文的测算与综合概算相近,这从一个侧面表明本文的测算具有可靠性。事实上,如果从经济意义上来考察中国隐性失业人口和隐性失业率,同时考虑到人力资本以及劳动力异质性的客观存在,那么本文估计的我国隐性失业人口和隐性失业率应当更具有实际参考价值,2003年后出现的“民工荒”事实也说明了这一点。
四、隐性失业人口水平的影响因素分析
本部分将进一步考察隐性失业人口水平的影响因素。鉴于隐性失业人口数量是一个绝对量指标,反映的内涵不完整,因此将主要考察影响隐性失业率水平的主要因素。
(一)影响因素的理论分析
一般说来,隐性失业率高低与公开失业水平、政府重大政策实施、经济增长周期、产业结构状况、经济市场化水平、行政干预程度、技术进步等因素有密切关系。公开失业水平越高往往意味着原有隐性失业人口“失业显性化”程度越高,那么隐性失业率就会呈现下降态势。政府重大政策实施是一把双刃剑,一方面通过政策实施(如改革)创造了新的经济增长机会和就业机会,另一方面也可能使得原来经营主体难以适应新的经济环境变化,导致隐性失业人口增加,因此,政府重大政策推进对隐性失业率的影响难以确定。在经济发展中,经济增长显然需要更多有效就业人口,因此隐性失业人口将会下降,从而降低隐性失业率。产业结构状况也会影响隐性失业人口状况,第二、第三产业的不断递进发展,特别是第三产业的发展,会带来较大的劳动需求,从而有效缓解就业中隐性失业人口的压力,因此,优化和升级的产业结构有助于降低隐性失业率。经济市场化水平反映了不同经营主体在生产经营中对生产要素配置的市场化程度,显然,生产主体对生产要素配置越遵循市场化原则,那么隐性失业人口就越少,隐性失业率就越低。促进员工就业是政府经济管理中重要职责,也是维护社会稳定的重要措施,因此,政府行政干预程度会影响社会的就业程度,也影响隐性失业人口的存在,一般说来,如果政府在经济活动中行政干预程度越强,那么隐性失业人口将增加,隐性失业率会上升。科技进步将生产作业更加程序化和流程化,也使得劳动力的配置更加科学合理,因此,科技进步将减少整个社会的隐性失业人口,从而降低隐性失业率。
(二)实证分析
鉴于上述分析,现从实证角度来进一步检验和验证。考虑到使用的是时间序列数据,采用ADF检验容易验证除公开失业率外各变量序列数据存在单位根,为非平稳数据;各解释变量的方差膨胀因子VIF表明存在多重共线性问题(见表4)。为了避免序列变量伪回归和减轻多重共线性影响,采用一阶差分方法可以将序列数据变成平稳数据(见表4),同时差分后的数据相关性明显降低,方差膨胀因子均低于1.35。为此,建立如下差分方程:
![]()
其中
表示隐性失业率,其数值依据表2测算的人力资本且劳动力不同质的隐性失业率;C为常数项;GOV表示政府重大政策实施,采用哑变量处理,如当年有重大经济政策宣誓和推动,那么在当年及其后两年记为1,这些重大政策实施主要有:1979年推行农村土地承包制、1984年的城市经济体制改革、1992年邓小平南巡讲话、1998年推行国有企业改革和房地产改革等;IN表示产业结构状况,以第三产业GDP占全部GDP比重来表示;GDPM表示经济增长状况,用当年GDP的增长率来表示;R表示公开失业水平,用城镇失业率水平来表示;MAR表示市场化水平,使用非国有经济比重来表示;GA表示行政干预程度,可以采用公务员占就业人员比重、政府消费占GDP比重或者财政支出中行政管理费用占GDP比重来表示,[26]本文采用行政管理费用占GDP比重来表示; 表示科技术进步,使用科技资本存量对数来表示; 表示时间,Δ表示变量 期与 期差额。变量中GDP和城镇失业率取自《中国统计年鉴》、《新中国五十五年统计资料汇编1949-2004》等资料,非国有经济工业总产值中比重、行政管理费用占GDP比重和科技资本存量使用王小鲁、樊刚等编制资料,其中缺少的2008年如法补充或估计。
表5报告了差分方程回归的结果。从报告中可以看到变量回归系数的显著性不高(这与采用变量差分方法估计密切有关),但稳健性很好,表明结果较为可靠。从模型1、2、3中可以看到科技进步和行政干预程度对于隐性失业率有较显著影响,科技进步降低社会的隐性失业率,而政府干预则提高了社会的隐性失业率;公开失业水平、市场化水平、产业结构演进、经济增长可以降低社会的隐性失业率,但显著性不强;政策实施的回归系数为0.003,且不具有显著性,这意味政策实施对隐性失业率几乎没有影响。从上面研究可以看到科技进步、市场化、公开失业水平、产业结构演进、经济增长等或强或弱降低社会的隐性失业率,政府干预则提高了社会的隐性失业率,政策实施对隐性失业率几乎没有影响,检验的结论与理论预期相符。因此,综合起来,政府行政干预会导致整个社会的隐性失业率提高,而科技进步、市场化、公开失业水平、产业结构演进、经济增长则不同程度降低社会的隐性失业率。
表4 ADF变量、一阶差分变量平稳性检验和解释变量多重共线性检验
| 变量 | VIF | 检验形式 | ADF统计量 | 5%临界值 | 结论 | 一阶差分变量 | 检验形式 | ADF统计量 | 5%临界值 | 结论 |
| 隐性失业率 | – | (C, T, 1) | -1.863 | -3.584 | 不平稳 | 隐性失业率 | (C, T, 1) | -4.407 | -3.584 | 平稳 |
| 经济增长 | 1.39 | (C, T, 2) | -3.025 | -3.588 | 不平稳 | 经济增长 | (C, T, 1) | -5.049 | -3.588 | 平稳 |
| 科技进步 | 62.5 | (C, T, 2) | -2.397 | -3.588 | 不平稳 | 科技进步 | (C, T, 7) | -3.753 | -3.600 | 平稳 |
| 市场化 | 58.82 | (C, T, 1) | -2.554 | -3.584 | 不平稳 | 市场化 | (C, 0, 1) | -3.509 | -2.992 | 平稳 |
| 政府干预 | 19.23 | (C, T, 1) | -0.032 | -3.584 | 不平稳 | 政府干预 | (C, 0, 0) | -4.072 | -2.989 | 平稳 |
| 公开失业 | 1.66 | (C, T, 1) | -4.903 | -3.584 | 平稳 | 公开失业 | (C, 0, 0) | -4.072 | -2.989 | 平稳 |
| 产业结构 | 47.62 | (C, T, 2) | -3.256 | -3.588 | 不平稳 | 产业结构 | (C, 0, 2) | -3.136 | -2.994 | 平稳 |
注:检验形式(c, T , k)中,c和t分别表示ADF检验带有常数项和趋势项,k表示滞后阶数,0表示无趋势项或无滞后阶数。
表5 差分方程回归结果

注:**、* 分别表示估计值在5%、11%水平上显著。
五、结论
随着我国改革开放以及计划经济向市场经济的转变,失业问题逐渐成为全社会所关心的问题。从公布的历年城镇失业率来看,我国的失业率并不高。但由于我国正处于经济转型期,不同经营主体在劳动力就业上并没有完全市场化,客观上存在相当规模隐性失业人口,因此探讨我国隐性失业人口是题中应有之义。现有文献对我国隐性失业人口做了有益的探索,但也存在明显不足。为此,本文探讨我国1978-2008年隐性失业人口水平及其影响因素。
从隐性失业人口水平看,我国隐性失业人口数量呈波浪式增加态势,到2002年达到历史最高峰,此后开始迅速下降、直至消除;与之相对应,隐性失业率呈波浪式、缓慢增加的趋势波动,并形成三次历史波峰,2003年后开始快速下降、甚至为0。从影响隐性失业人口水平因素来看,科技进步、市场化、公开失业水平、产业结构演进、经济增长等不同程度降低社会的隐性失业率,而政府干预则提高了社会的隐性失业率。
为了减少我国经济活动中的隐性失业人口和隐性失业率,应当多管齐下。第一,积极发展经济、大力发展第三产业、促进经济平稳快速增长,增加整个社会对有效劳动力的需求。第二,加强科技进步、推动生产管理科学化、合理化,从科技和管理上消除无效劳动。第三,打破市场分割和各种垄断、加快经济市场化进程,促进劳动力就业市场化。第四,建立和健全公开失业登记制度和失业人员保障制度、促进隐性失业显性化。第五,建设服务型政府、减少政府对经济活动的行政干预。
*本文受到国家自然科学基金项目(项目编号:71072054)和福建省教育科学“十一五”规划课题(项目编号:FJF10-013)资助。
注释:
[1] J. Robinson, Essay in the Theory of Employment, New York: Macmillan Company, 1937; A.K. Sen, Employment, Technology and development, Oxford University Press, 1975. *本文受到国家自然科学基金项目(项目编号:71072054)和福建省教育科学“十一五”规划课题(项目编号:FJF10-013)资助。
[2] 王诚:《当前经济增长中的失业及其治理》,《浙江社会科学》2000年第5期。
[3] Lewis, W. A., “Economic Development with Unlimited Supply of Labor”, The Manchester School, 22(1954),pp. 139 – 191; Todaro, M. P., “A Model of Labor Migration and Urban Unemployment in Less Developed Countries”, American Economic Review, 1(1969), pp.138-148; Fei,J.C. and G. Ranis, “A Theory of Economic Development”, American Economic Review , 57(1961), pp.533-565.
[4] McConnell C. R. and S. L. Brue, Contempory Labor Economics, U.S.A. McGraw-Hill, Inc.,1992
[5]菲韦尔:《社会主义工业经济中的隐蔽失业的原因及其后果》(英文),《苏联研究》1974年第3期。
[6] 牛仁亮:《劳力:冗员失业与企业效率》,中国财经出版社1993年版,第145-149页。
[7] 李纯应:《论当前农业劳动力转移的主渠道》,《经济理论与经济管理》1998年第4期;杜鹰:《现阶段中国农村劳动力流动的群体特征与宏观背景分析》,《中国农村经济》1997年第6期;龚维斌:《劳动力外出就业与农村社会变迁》,文物出版社1998版;王红玲:《关于农业剩余劳动力数量的估计方法与实证分析》,《经济研究》1998年第3期;余大兴等:《脚下的长路》,经济科学出版杜1998版。
[8] 王诚:《中国就业转型:从隐蔽失业、就业不足到效率型就业》,《经济研究》1996第5期;王诚:《当前经济增长中的失业及其治理》,《浙江社会科学》2000年第5期。
[9] 隗斌贤:《对我国隐性失业状况的实证分析》,《统计与决策》2000年第8期。
[10] 孙立:《转型中国隐性失业分析与治理》,中国经济出版社2005年版,第136-138页。
[11] H. Chenery and M. Syrquin, Patterns of Development,1950-1970, London : Oxford University Press, 1975.
[12] 隗斌贤:《对我国隐性失业状况的实证分析》,《统计与决策》2000年第8期。
[13] Dell’Anno, “The Shadow Economy in Portugal: An Analysis with the MIMC Approach”, Journal of Applied Economics, 10( 2007), pp. 253-277;Giles, “Modeling the Hidden Economy and the Tax-gap in New Zealand”, Empirical Economic, 24(1999), pp. 621-640.
[14] Qing Guo and Angang Hu, Study on china’s Industrizition, Beijing: Chinese Sciences and Technology Press,1991; 胡鞍钢:《中国就业状况分析》,《管理世界》1997年第3期。
[15] Son,H.and N.Kakwani, “A New Measure of the Unemployment Rate:with Application to Brazil”,Working Paper, 2006.
[16] 隗斌贤:《对我国隐性失业状况的实证分析》;孙立:《转型中国隐性失业分析与治理》,第57-58页。
[17] Lewis, W. A., “Economic Development with Unlimited Supply of Labor”, The Manchester School, 22(1954),pp. 139 – 191.
[18] 王小鲁、樊刚、刘鹏:《中国经济增长方式转换和增长可持续性经济研究》,《经济研究》2009年第1期。
[19] Hsueh and Li, China’s National Income:1952-1995, Boulder: Westview Press,1999.
[20] 柏培文:《中国劳动力人力资本存量水平估算:1989-2007》,《教育与经济》2010年第2期
[21] 需要指出的是,在估算2003年之后我国隐性失业人口和失业率为零时,指的是社会总体状况。这并不排除我国局部地区、行业或单位客观存在隐性失业人口,同样也不排除局部地区、行业或单位客观存在超负荷的劳动。
[22] 王诚:《中国就业转型:从隐蔽失业、就业不足到效率型就业》,《经济研究》1996第5期。
[23] 王诚:《当前经济增长中的失业及其治理》,《浙江社会科学》2000年第5期。
[24] 隗斌贤:《对我国隐性失业状况的实证分析》,《统计与决策》2000年第8期。
[25] 牛仁亮估计80年代农村隐性失业率为10-16%;其他众多学者估计90年代中国农村隐性失业率大致在20-25%区间,如:李纯英、杜鹰等、龚维斌、王红玲等。
[26] 杨灿明、孙群力:《中国各地区隐性经济的规模、原因和影响》,《经济研究》2010年第4期。
(作者单位:厦门大学经济学院 361005)

