1949—1978年重工业产品价格机制演变研究
【内容提要】新中国成立以后,随着国民经济恢复和大规模经济建设的开始,我国确立了苏联创立的社会主义工业化模式,即在单一公有制和计划经济条件下优先快速发展重工业。1956年我国基本完成社会主义改造和建立计划经济体制后,重工业产品定价机制也完成了由市场向计划的迅速转变。1957年以后,在“赶超”和“备战”的双重作用下,资源更加向重工业倾斜,而作为维护这种战略的工业产品价格也在计划价格的框架下曲折运行。在这个时期,重工业产品的计划定价存在着导致价格结构扭曲的内在机制,在赶超型优先发展重工业战略的总目标下,无论是价格调整还是放权式改革都无法从根本上改变这种内在机制的作用。最终计划价格机制所带来的重工业产品价格结构扭曲给工业化推进及国民经济带来了不利的影响。
【关键词】重工业产品;价格形成机制;工业化;价格体系;计划经济
1949—1978年中国选择了优先发展重工业的社会主义工业化道路,为确保这种工业化道路的顺利推进,政府对重工业产品较早建立了国营经济内部的物资调拨体系。与之相适应,重工业产品也率先完成了从市场定价到计划定价的转变,并在计划定价的框架内曲折运行了20余年。本文试图将1949—1978年重工业产品价格机制的演变置于优先发展重工业的大背景下考察。在厘清重工业产品价格机制演变与工业化道路互动过程之后,通过构建离散的动态经济模型,来分析这种伴随着物资调拨体系建立而形成的计划价格体系,存在着使重工业价格结构不断扭曲的内在机制。在优先发展重工业目标下进行的价格调整,又是滞后与不充分的;而对高度集中的价格体制所进行的权力下放尝试,不但不能缓解重工业价格结构的扭曲反而会使这种情况进一步恶化。这种为优先发展重工业所建立起来的价格机制,最终会产生不利于重工业和国民经济发展的影响。
一、1949—1956年重工业品计划定价机制的形成
新中国成立前,国民党政府除对少数特种物资,如钨、锑、锡、汞等重要矿产品和猪鬃、桐油等少数农产品实行统购统销外,其他的生产资料和生活资料基本上都实行市场自由流通[1]。1949年新中国建立后,由于长期战乱,导致经济凋敝、生产萎缩、物价飞涨,广大人民群众生活在困顿之中,单凭市场很难进行资源有效配置。1949—1952年为了恢复生产、繁荣经济,也由于国营经济在国民经济中的领导地位,新中国政府加强了对经济的干预。从1950年10月起,由中财委[2]计划局物资分配处负责,通过国营商业企业,对煤炭、钢材、木材、水泥、纯碱、杂铜、麻袋、机床等8种关系国计民生的重要生产资料,在大区之间进行计划调拨。随着全国经济恢复工作的进展,实行计划调拨的物资种类逐步增多,1951年物资调拨种类为33种,1952年上升为55种[3]。
经过三年国民经济恢复,我国从1953年开始进入大规模经济建设阶段。由于我国经济落后,底子薄,为保证短缺条件下的供求平衡(市场稳定)和重点建设,国家加强了对生产资料的计划配置,迅速建立了物资调拨体系。从1953年开始,中央政府将工业品中的生产资料划分为三类:统配物资、部管物资、地方管理的物资(又称三类物资)[4]。国家对物资的分配主要通过两个渠道:一是直接分配,即需用这些物资的国营企事业单位和公私合营企业向上级有关部门提出申请(这些单位又称“申请单位”),经政府有关部门审核分配;二是间接分配,即非计划申请单位和居民的需要量,由国营商业部门通过市场供应[5]。
随着公私合营的快速推进,“申请单位”逐步增多。物资供销机构逐步建立,商业部门销售给市场的钢材由1954年的30%,下降到1955年的18.2%,而到1956年则进一步下降为8.2%,到1957年则基本上取消了商业部门的门市供应,实行单一的计划分配和供应。国家对重工业产品的分配范围逐步增大,1953年统配物资为112种,如:生铁、钢材等。而到1957年则增加为231种,主要有煤油、炸药、导火线、载重汽车等产品。1953年部管物资由115种而到了1957年则增加为301种,主要品种有砖、瓦、石、灰、沙、石料及其他地产地销产品[6]。
随着国家对物资调拨范围的扩大,对价格的管理逐渐成为国民经济运行中的重要问题。1953年国家计委成立物价局,开始在苏联成本物价专家的帮助下,会同工业部门制定重工业产品出厂价格。在1950年代初期,冶金、化工、机械、电力等重工业产品出厂价格由各大行政区分别制定和管理,价格水平互不衔接,不利于中央政府对重工业资源统一配置,同时也给企业的经济核算带来不便。煤炭、石油、电力、机械工业等重要的生产资料的定价机制从1953年起率先实现全国统一的计划价格,形成高度集中的定价机制。1953年中央政府对国营煤炭出厂价格实行统一计划管理,并且通过对煤炭实行低价政策来推进工业化。新中国建立后,石油[7]主要依赖进口,极为短缺,因此基本上是国家控制。在1950年代初期,为发展石油工业,政府进行了高价保护政策。1953年起加强了对电力企业的管理,由于全国主要电厂和电网都是国营企业,因此都划归中央燃料工业部直接领导,电力价格也实行统一计划管理[8]。机械工业担负着推广先进技术和设备改造、装备整个国民经济的任务,因此机械工业产品价格与重工业中的原料和采掘业中间产品的价格定价目标就有所不同。新中国建立初期,机械工业十分落后。1949—1952年国民经济恢复时期,机械工业产品价格体系刚刚创建,新产品居多而且需求庞大,机械工业利润比较高。1953年,为编制第一个五年计划,以及便于物资价格核算,中财委和第一机械工业部共同制定了国营企业的机械产品全国统一出厂价格,即调拨价格[9]。
伴随物资调拨体系的逐步建立,其他重工业产品定价也逐步完成由市场向计划的转化。当时对重工业产品计划价格形成大致有三种情况:第一种情况是完全沿用过去承传下来的老价格未作变动。但是由于各地价格不统一,为适应计划经济统一调拨的要求尽量统一价格,不能全国统一价格的也按照地区统一。煤炭、石油、电力等重工业产品就保持了适当的地区差价。第二种情况是对于新产品的价格。按照当时苏联专家的意见,应该是执行低价原则,因为按照他们的观点,重工业产品不是商品而是生产资料性质的产品。而考虑到新产品与新产品之间以及新产品与大体相同的老产品之间价格的衔接,政府决定新产品定价还要同时参照市场同类产品比价。第三种情况是对于进口商品。由于我国实行“统制贸易”和“进口替代”战略,进口商品完全掌握在政府手中(即使私商进口的商品也是受国营企业委托或由国营企业收购),因此定价权更是完全掌握在政府手中,政府主要是通过提高汇率来实际上降低所进口的生产资料价格[10]。
依照这种价格形成机制,我国在计划价格制定初期就存在煤炭等基础产业价格偏低而机械工业价格偏高的问题。由于在旧中国外国资本家和官僚资本利用廉价的劳动力在原始落后的条件下进行掠夺性的开采,煤炭、矿石和原材料等价格一直被压得很底,而主要依靠进口的石油和加工工业则价格较高。以煤炭为例,新中国建立后,虽然工人工资待遇提高和生产条件改善导致了这些产业的成本提高,但为了稳定物价和国民经济建设需要,这些产品价格并没有太大提高。在机械工业与钢铁工业方面,建国以后大多数是新投产的产品,价格制定的相对较高,同时由于技术进步较快,导致这些企业利润较大。据统计,钢铁产品1955年平均利润率高达57%,机械产品为37%,重化工业为38%。针对这种价格体系扭曲的情况,我国曾设想进行两步走的调价方案。1956年中央政府开始着重对重工、机械等6个部门的产品价格进行调整,净降价达7亿多元,占这六个工业部门产值的9.35%。但方案的第二步又由于考虑到财政收入下降等问题而流产[11]。
1949—1956年,我国确定了优先发展重工业的工业化道路,而重工业产品价格的定价机制也完成了市场定价机制向计划定价机制的迅速转变。这种价格机制满足了物资调拨体系的需要,对确保投资大、建设周期长的重工业发展有着有利影响。虽然该时期重工业内部已经出现了价格体系扭曲的问题,但计划价格机制的弊端在这一时期还未能充分暴露,在1957—1978年重工业价格机制的演变中这些问题逐渐显现出来。
二、1957—1978年重工业品定价机制的演变
1956年形成的高度集中的经济管理体制固然对优先快速发展重工业战略起到了促进作用,但这种体制同时也束缚了地方政府和企业的积极性,从而不利于调动中央政府和地方政府两个积极性共同推进工业的快速增长[12]。毛泽东认识到:“中央要发展工业,地方也要发展工业。就是中央直属的工业,也还要靠地方协助。……总之,要发展社会主义建设,就必须发挥地方的积极性。中央要巩固,就要注意地方的利益”[13]。因此在随后的“大跃进”时期,以毛泽东为代表的中央主要领导为了调动地方积极性,进行了经济权力大规模下放,我国物价管理体制也进行了类似的改革。高度集中的价格体系作为经济体系的一部分也因为过度集中不利于调动地方的积极性,在这次权力下放的过程中也进行了大规模的下放。
1958年4月,中共中央和国务院规定:在工业品价格方面,除棉纱、棉布、呢绒、食盐、食糖、煤炭、石油等7种商品外,其他一切工业品现在所定的市场价格,各省、自治区、直辖市认为不恰当的,都有权加以调整。对于重工业品价格,虽然国家计委没有下达统一的价格目录和向下放权,但是有关部委实际上已经下放了许多定价权限。例如机械产品,当时国务院各部委管理的品种和价格原有132种、10 217个价格,权力下放后减少为42种、1 489个价格,下放了85.4 %。“大跃进”期间,中央为了照顾地方新建企业生产成本暂时较高的情况,允许地方对那些生产由中央统一定价产品而发生亏损的,可以实行高于中央统一定价一定幅度的临时价格。大规模的权力下放不但没有带来资源的优化配置,反而导致了价格领域的混乱。据1959年第一机械工业部在山西、陕西、湖北、江西、浙江、上海等地对58个地方企业及10个中央直属企业调查,冶金、矿山、机床、电工等30类、450个机械品种的价格,从1958年第四季度以来,地方企业绝大部分不执行中央定价。自定的价格一般高出中央定价20%—70%,有的高出1倍以上。1960年武汉市有关部门检查,有53%的产品是企业自行定价;宜昌市三个生产硫酸的工厂,自行制定的硫酸价格比省定价高六到八倍,有的产品利润高达3.7倍[14]。上海生产的AKB型4 500千瓦汽轮机,市定价为55万元,甚至高出中央定价的AK—6型6 000千瓦汽轮机10万元。湖北生产的B665型牛头刨床,省定价7100元,比中央定价的B665型牛头刨床5 500元高出30%[15]。即使是中央企业,有的也不执行中央规定的价格。生产资料的价格上涨导致整个企业生产成本大幅上升,那些没有随行就市提高产品价格的企业就要发生亏损,有时甚至发生全行业的亏损,因而也就促使这些企业也擅自定价,于是就形成轮番涨价的恶性循环,从而破坏了价格水平的稳定。虽然在“大跃进”期间国家调高了采掘工业产品和原材料工业产品的价格,降低了某些机械产品价格。但由于“大跃进”造成的物资紧张,使机械产品自发涨价的幅度高于采掘工业和原材料产品。因而使原已存在的采掘工业产品和原材料工业产品价格过低、加工工业产品价格偏高的不合理比价又进一步加深。
1962年初,在“七千人大会”上中央不得不重申加强物价统一管理要求,强调必须严格物价纪律,指出凡是中央统一管理的价格,地方各级都无权决定;中央决定调整的价格,地方各级必须认真贯彻执行,不得随意改变。刘少奇在七千人大会上提出建立全国物价委员会,由全国物价委员会对包括重工业在内的产品价格进行管理。1962年5月,中共中央和国务院提出了整顿地方临时价格的决策。从1962年开始,地方临时价格的范围缩小,品种减小,如北京原定20种产品的临时价格取消了16种,减少了80%,吉林省把原定36种产品的临时价格取消了23种,减少了64%[16]。到1963年,许多地方的临时价格基本取消,少数保留的,其高于中央定价的幅度也大大缩小,使临时价格的弊病已缩小到最低限度。1963年国务院通过《关于物价管理的试行规定》,其中规定国家统一分配和国务院各主管部门统一分配的工业产品的出厂价格和供应价格(重工业产品价格,笔者注)凡属全面的重大的调整方案,由全国物价委员会同主管部门提出,报国务院批准下达。凡属个别品种或个别地区的价格调整方案,其影响较大的,由主管部门或地方提出,经全国物价委员会审定后,报国务院批准下达[17]。调整时期价格管理权限的重新集中,使得我国经济混乱的局面有所缓解,但是价格形成机制又复归为高度集中的定价制度。
1963年虽然以煤炭为代表的行业要求提高价格,但为了稳定物价,避免打乱各工业部门、工业企业的经济核算,中央决定对重工业产品出厂价格暂时不作重大调整 [18]。价格的稳定虽然给国民经济调整带来了稳定的宏观环境,但是僵化的价格导致本已存在的价格结构不合理的情况进一步恶化。经过国民经济调整,宏观经济形势逐步改善,企业的生产也逐步走向正常,1965年中央对重工业产品出厂价格进行了一些调整。当时认为,石油和电力分别有40%和100%的利润,冶金和化工部门分别有利润30%和40%左右。机械加工部门的利润也在30%以上,而煤炭工业却处于亏损状态。为扭转企业利润差距较大的情况,使各行业取得10%—20%的利润。当时设想1965年重点调整煤、电、油、机械等产品。第三个五年计划时期还准备进行两三次较大的价格调整,重点是调低机械、铜材、石油、化工产品等价格。第二次价格调整时间大体定在1967年[19]。1965年煤炭继1958年第一次提价后进行了第二次提价,提价幅度为10%。其中泥煤提高17%为煤炭各品种最高[20]。电力、石油、机械工业进行了降价。其中机械工业产品的进行了较大范围的价格调整,包括对机床、电动机、压缩机等产品价格则实行了降价,降价幅度在5%至30%之间[21]。这次价格的重点调整初步改善了这些产业价格不合理的情况。机械工业降价金额为5.83亿元,但第一机械工业部的生产企业成本利润仍然为33.1%[22],仍然远大于煤炭工业提价后资本利润的3%左右[23]。
文化大革命初期,按照过去的设想和计划,中央对冶金产品、机械产品、化工产品、石油产品进行了一定幅度的价格下调。例如,1967年初对优质钢材降价15%;对专用、精密和大型机床降价幅度为30%—40%,普通机床的价格降价幅度在15%以下。1967年对丁苯橡胶每吨从4 300元降为3 800元,66号车专用汽油从600元降为560元[24]。但文化大革命时期,由于无政府主义一度泛滥,价格管理一度混乱。1967年8月20日中共中央、国务院、中央军委、中央文化革命领导小组联合发出《关于进一步实行节约闹革命,控制“社会集团购买力”和加强资金、物资和物价管理的若干规定》(简称“八·二〇”通知)。该通知实际上宣告从1967年8月20日起全国物价基本上处于冻结状态。长久的冻结价格是难以持久的,1970年,国家对工业产品如化肥、农药、煤油、柴油等少数产品进行了价格调整。1971年开始我国对部分机械工业产品进行了价格调整,主要包括仪器仪表、重型机械、通用机械、电工、小变压器等机械工业产品进行了降价,降价额相当于产值的0.5%。1976年第一机械工业部机械企业的成本利润降至21.8%,比1965年减少11.3%[25]。从1972年开始,物资调拨体系也进行了“地区平衡、差额调拨”的办法,进行了扩大地方物资管理权的尝试[26]。但物价管理权仍控制在中央政府手中,1973年召开的全国物价工作座谈会,重申了“中央统一领导和地方各级分级管理”的物价管理体制,主要的商品的价格机制工业产品价格只能由中央统一规定,统筹安排[27]。从整体上来看文革十年,重工业产品价格变动不大,计划价格管理权高度集中在中央。1977年、1978年两年徘徊时期价格机制上仍未有实质性突破。
1957—1978年是我国在优先发展重工业道路上前行的20年,也是我国价格机制在计划价格框架内运行的20年。在这个阶段,重工业中基础性产品的价格过低与高加工产品的价格过高的问题一直困扰着我国经济发展。而在这一时期,一方面物价部门不断对价格体系进行了必要调整,但可惜这些调整既不充分也不及时;另一方面中央也曾对高度集中的物价进行了放权式的改革,但这种改革不仅没有达到预期的目的,反而更加恶化了价格扭曲的问题,短暂的改革后,重工业产品价格形成机制依旧回归到高度集中的状态。
三、重工业产品价格机制与价格结构扭曲的分析
本文通过构建离散的动态经济模型,讨论重工业产品价格在计划价格条件下存在使价格体系不断扭曲的内在机制,然后在该模型的框架内分析在在优先发展重工业战略目标下,无论是对价格的调整还是定价权力下放,都无法从根本上矫正这种机制的缺陷和弊端。
(一)计划价格条件下重工业价格结构扭曲的内在机制
随着我国五十年代中期生产资料社会主义改造的完成和计划经济体制的确立,重工业产品价格的变动由灵活的市场决定转变为僵化的政府决定。虽然在计划价格在最初是参照市场所定价格而形成的,但是由于重工业产品如煤炭等基础性产品和机械工业等高加工产品广义技术进步(以下简称技术进步)存在较大差异,随着技术进步的推进,僵化的价格体系必然会导致技术进步高的产业利润增加幅度大于技术进步低的产业。
我们假定两类产业部门:Y1、Y2,分别代表技术进步高的产业部门和技术进步低的产业部门(技术进步高的产业部门还代表重工业内部的下游产业,如机械工业;而技术进步低的产业部门则代表基础性产业,如煤炭工业。)。这两个产业部门符合AK生产函数。[28]
,
分别代表技术进步高的产业在n期的利润和技术进步低的产业在n期的利润。
, 分别表示第i期对两部门的价格的调整幅度,即
![]()
g1,g2分别为两类产业的技术进步率,且满足
。我们可得到:
![]()
与技术进步g1,g2类似,m1,m2为投资的增长率。由于计划经济时期投资受政府偏好影响很大,在这里视为外生变量。为简化讨论,我们进一步假定
[29]。我们假定技术进步高的产业需要购买技术进步低的产品,它的成本受技术进步低的产品价格调整影响;技术进步低的产业需要购买技术进步高的产品,它的成本受技术进步高的产品价格调整影响。即:

分别为两部门初使条件下的价格,技术进步,资本和成本。为进一步简化讨论,我们假定
![]()
由以上假定前提,我们可得出下式(1)和(2)

又因为已经假定 ,我们可以进行简化得到(3),(4):

当我们在固定价格条件时,因为价格固定,则
。此时两部门在n期的利润分别为[30]:

由于
,所以
,随着时间推移,n↑,两部门的利润差距会逐渐大。如本文第二部分所述,由于历史的原因在我国计划价格建立之初就存在煤炭等基础性产业价格与利润偏低,而机械工业等工业价格与利润偏高,即存在
。在僵化的价格机制下,两行业中的价格结构不合理[31]的情况将会随着技术进步的推进不断恶化。
二、计划价格条件下价格调整的局限
在计划经济条件下,企业不能自由进出,而且价格的调整要经过政府统一进行。改变两部门利润差距拉大的情况,要通过政府对生产情况的变化进行价格的调整。下面将讨论在优先重工业发展战略下,价格调整虽然可以缓解价格扭曲,但是它的调整一方面是不及时的,另一方面是不充分的,最终无法改变这种内在机制的影响。
1.对价格进行及时并且充分调整的情况
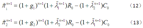
我们假定价格在n+1期进行价格调整;且当i≤n ,
。而在n+1期我们对部门1进行降低价格,而对部门2进行提高价格。即表示为:
![]()
分别表示进行价格调整后的部门1和部门2的利润。

此时,有
,经过价格调整之后价格扭曲程度有所缓解,技术进步高的部门利润较没有进行价格调整时,利润下降;技术进步低的部门反之。当
时,价格进行充分调整,即两部门的利润达到相等,
。从理论上来看,通过价格调整可以扭转两部门利润差距较大的问题,但从计划经济时期我国对重工业产品价格调整的实践来看,这种调整是不及时也是不充分的。
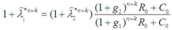
2.当价格调整是滞后时情况分析
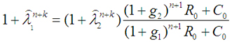
我们假定在n+k时候才进行充分的调整,价格调整幅度为:

此时
表示本应当在n+1期进行调整,但因为滞后,导致在n+k期才进行调整,而调整幅度是在n+1期可使两部门利润相等的情况。n+k期价格调整后两部门实际利润为:

所以
,即使价格调整在决策时是充分,当价格调整滞后时调价的效果也受到影响。
由于优先重工业发展战略和人口多、底子薄的经济基础,要求政府对经济资源进行高度集中的配置。而作为国民经济发展重要环节的重工业产品则进行了更为严格的控制,建立了高度集中的物资调拨体系和计划定价体系。这种计划定价依赖于自下而上的信息流通过程和自上而下的决策过程,而这种纵向的信息流动和决策过程导致决策者行动迟缓,导致我国对价格的调整是十分迟缓的。例如,由于对机械产品60年代利润偏高的问题反映比较突出,虽然物价部门同意进行适当调整。但当时调整价格的机制表现为由一机部、农机部、交通部会同有关部门共同研究,提出意见,报国家计委、国家经委和全国物价委员会共同核定。多部门的协商与核定必将导致调整的迟滞。又例如1963年第一季度煤炭、林业、冶金各部要求提高煤、木、钢铁等产品价格,但考虑到经济调整期间要求物价稳定的宏观情况,物价委员会决定不提价,准备推迟到1964年再提价。经过和各部门一系列的协商,直到1965年[32]才对部分产品价格进行了调整,时间已经过去了两年。在这种机制下,长期存在利润偏低的煤炭工业在1953—1978年仅仅进行了两次大规模的价格调整。
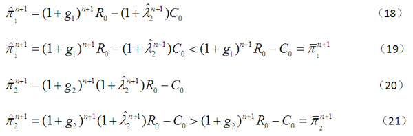
3.价格调整不充分的情况
因为价格调整是不充分的,我们有:
![]()
此时,两部门利润分别为:

由于![]()
则有![]()
当价格调整不充分的时候,价格扭曲虽可缓解但无法彻底解决。
随着计划经济的建立,在价格机制中起决定作用的因素也由市场地位的强弱让位于各部门政治力量大小。在优先发展重工业战略下,我国需要集中大量的资金进行重工业建设,财政部门在此体系中扮演着重要角色。虽然基础性产业部门对于利润偏低问题意见很大,要求提高价格,但是财政部门和机械工业等部门对基础性产品价格提高持反对态度,这导致物价的调整是不充分的。例如,50年代我国曾试图对机械工业等利润高的产业进行继1956年价格调整后的再一次调整,但1956年调整后的情况证明重工产品降价导致的财政收入减少部分未能全部收回,因此这次调整就因受到财政部门的反对而流产[33]。
价格的调整的幅度也不仅要考虑到经济效果还要受到许多其它因素影响。重工业品价格的调整还要服从我国优先发展重工业战略,偏低的基础产业产品价格可以促进机械工业的扩张,既导致了长期持续的需求旺盛,又降低了整个工业发展的成本,完成了生产资料从生产到消费的内部循环,体现出生产资料优先增长必要性,从而保证了优先发展重工业战略的实现。当时认为:“重工业产品绝大部分都是生产资料,任何一种产品的提价,都会提高其他企业的生产成本。从一个企业来看,提价有可能减少亏损,增加盈利,但从整个国家来说,提价只能转移亏损(由一个企业、部门转到许多企业、部门)而不能减少亏损。”[34]为防止长期亏损的基础性产业提价影响工业的扩张,我国对于基础工业的价格长期得不到有效的调整。面对基础性产业的亏损我国政府寄希望于生产成本的降低(即提高广义技术进步)来缓解这些行业亏损状态而不是通过调整价格。
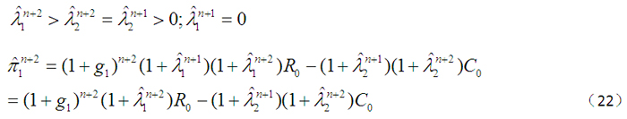
4.当价格调整滞后且不充分的情况
令
分别代表在价格调整滞后且不充分的情况下的两部门的利润。则有
![]()
![]()
而对价格调整滞后且不充分,易证:

则可认为当价格调整滞后且不充分,虽可调节价格扭曲的情况,但此时价格调整的效果尚不如及时但不充分和充分但不及时的结果,此时的价格调整对缓解价格扭曲的影响大打折扣。由于调整是滞后且不充分导致调价效果影响非常局限。所以对于价格的调整无法从根本上解决重工业产品价格结构扭曲的问题。而我国在计划经济时期的价格调整正是调整滞后且不充分,虽然我国在计划经济时期进行过多次的价格调整但是并未解决价格扭曲的问题。
三、计划价格条件下放权导致的价格体系进一步扭曲
政府进行的定价机制的权力下放,不仅没有带来价格结构的改善,反而导致了价格结构的进一步扭曲。下面对该机制进行分析:
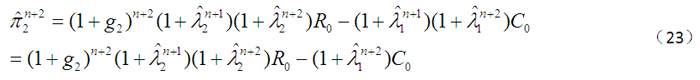
1.当产品1价格不变化,产品2价格上涨时候
此时我们假定
,可得

可以初步缓解价格扭曲的情况。
2.部门2的价格上升且幅度高于部门1的价格上升幅度的情况
国家为推进优先重工业发展战略,而建立起来的公有制微观基础普遍存在“投资饥渴症”。在赶超战略的目标下,各级政府也热衷于扩大投资规模,快速推进工业化发展。这导致我国经济长期处于紧运行状态,生产资料的需求大于供给,给价格上升带来很大的上升空间。由于部门2属于基础产业在它涨价之后,部门1也会选择价格上涨。而在短缺经济条件下,部门1的价格也有充分上升的空间。最终导致部门1的价格上涨幅度大于部门2的价格上涨幅度。我们假设在n+2期时,两部门价格按照上述机制进行变化,且此时部门2的涨幅和上一期相等此时有:


当下面不等式成立时:

产生轮番涨价,此时价格扭曲程度比价格未放开时更加恶化。
这个机制说明了,价格权力下放后,由于重工业内部处于生产下游的加工工业企业提高产品价格且幅度大于基础性企业,导致价格的轮番涨价,最终带来价格体系进一步的扭曲。例如,煤炭工业曾在1958年因为出厂价格提高,利润率达到22%解决了行业亏损问题。但是从1961年开始煤炭成本急剧上升,1962年再一次全行业亏损。其中相当部分是因为价格因素的影响[35]。结果又不得不重新回到高度集中的定价机制,使得这套价格机制无法摆脱“一收就死,一放就乱”的循环。[36]
四、价格体系扭曲的后果
虽然企业的资金利润率不仅取决于价格问题,还要包括挖潜等许多复杂的问题,但在这种僵化的价格机制下,技术进步速度较高的加工工业可以获得远大于技术进步低的产业的利润。导致技术进步高的产业价高利大,而技术进步低的产业利润偏低甚至亏损。从表1中,我们可以看出机械工业的利润明显高于全国工业水平,而煤炭工业长期低于全国工业企业水平。冶金工业在建国初期曾高于全国机械工业利润水平,但是1957年后就长期低于全国工业利润水平。通过1957年计划经济刚刚建立初期和1978年在计划价格体系下运行20年后资金利润率的比较,我们可以清楚地看出资金利润率的变化。经过1952—1978年实行计划价格,煤炭工业利润率按照原值和净值计算分别减少了4.6和7.9;冶金工业分别减少了13和16.6;而技术进步高的机械工业反而分别增加了23.2和28.3。冶金工业曾在1952年和1957年的资金利润率与机械工业大体相等,但随着技术进步的演进,在1978年两者的差距按原值和净值计算,已经拉大到45.1和46.4 。
表1 全民所有制工业企业利润比较
| 年份 | 煤炭工业 | 冶金工业 | 机械工业 | 工业企业历年平均资金利润 | ||||
| 资金利税率 | 资金利税率 | 资金利税率 | 资金利税率 | |||||
| 按原值计算 | 按净值计算 | 按原值计算 | 按净值计算 | 按原值计算 | 按净值计算 | 按原值计算 | 按净值计算 | |
| 1952 | 7.2 | 10.9 | 23.8 | 30.8 | 22.7 | 32.3 | 19.2 | 25.4 |
| 1957 | 9.8 | 13.5 | 24.2 | 29.9 | 23.3 | 33.3 | 26.9 | 34.7 |
| 1960 | 24.8 | 31.2 | 14.6 | 17.7 | 56.3 | 73.2 | 37.2 | 43.6 |
| 1962 | -2.1 | -2.7 | 3.9 | 4.8 | 30.8 | 42.7 | 12.4 | 15.1 |
| 1965 | 4.3 | 5.6 | 20.8 | 25.9 | 52.1 | 70.7 | 23.8 | 29.8 |
| 1970 | 9.3 | 11.6 | 17.2 | 22 | 54.2 | 72.7 | 23.9 | 30.6 |
| 1971 | 9.1 | 11.4 | 18.3 | 23 | 50.1 | 68.2 | 23.8 | 30 |
| 1972 | 7.6 | 9.3 | 16.1 | 20.4 | 46.5 | 62.8 | 22 | 27.7 |
| 1973 | 4.5 | 5.5 | 14 | 17.7 | 46.7 | 63 | 20.4 | 25.8 |
| 1974 | 0.6 | 0.7 | 8.3 | 10.6 | 40.2 | 54.1 | 17.1 | 21.7 |
| 1975 | 2.4 | 2.9 | 7.7 | 9.9 | 41.8 | 56.4 | 17.8 | 22.7 |
| 1976 | 0.5 | 0.6 | 5.2 | 6.7 | 38.6 | 51.6 | 15.1 | 19.3 |
| 1977 | 1.3 | 1.5 | 5.8 | 7.6 | 44.1 | 59.6 | 16.4 | 21.3 |
| 1978 | 2.6 | 3 | 10.8 | 14.2 | 45.9 | 60.6 | 18.6 | 24.2 |
资料来源:《成本与资料》1985年第7期,转引自张卓元、李小西、边勇壮、石小:《中国价格结构研究》,山西人民出版社、中国社会科学出版社1988年版,第246页。
在计划经济条件下,价格杠杆失去效应,技术进步快的机械工业和消费品工业可以由廉价的能源、原材料带来较大的利润,而能源、原材料等基础性产业利润偏低则使得这些产业成本很难得到弥补,利润偏低甚至亏损导致这些产业不得不依靠国家补贴生产。虽在政府投资和强大的政治动员下,基础性产业的增长速度在1949—1978年依旧有一个比较快的速度增长,但是由于这些产业低价政策导致利润偏低甚至亏损,则导致这些企业应摊提的基本折旧、大修理折旧以及设备零部件的购置和补充无法弥补,从而延误了这些企业的设备更新和技术进步改造的步伐,并不得不靠国家大规模技术引进来缓解问题,“文革”期间的“四三”引进方案的主要项目就是能源和原材料工业。
从1956年社会主义“三大改造”完成到1978年改革开放前的22年整体来看,在工业产值增长速度方面,存在机械工业明显大于原材料和煤炭工业的状况。这导致重工业内部结构失调,基础性产业发展不足,而加工性产业则存在发展过热,形成长线更长,短线更短的结果。
表2 重工业内部产值1957—1978年增长速度
| 年份 | 采掘工业年均增长速度 | 原材料年均增长速度 | 制造工业年均增长速度 | 年均增长速度比值(以采掘工业为1) |
| 一五时期 | 21.5 | 23.4 | 28.6 | 1:1.09:1.33 |
| 1958—1960 | 41.5 | 42.1 | 57.3 | 1:1.01:1.38 |
| 1961—1962 | -22.2 | -20.65 | -29.8 | |
| 1963—1965 | 6.15 | 13.4 | 18.8 | 1:2.18:3.06 |
| 三五时期 | 8.7 | 13.7 | 16.5 | 1:1.57:1.9 |
| 四五时期 | 10.5 | 6.6 | 12.7 | 1:0.61:1.21 |
| 1976—1978 | 9.8 | 10.4 | 9.7 | 1:1.06:0.99 |
| 1953—1978 | 10.7 | 12.5 | 15.45 | 1:1.16:1.44 |
资料来源:《中国工业经济统计资料(1949—1984)》,中国统计出版社1985年版,第27页。
基础性产品价格偏低,也加剧了企业的“投资饥渴”症,过度储备原材料和中间产品,生产浪费严重。1980年[37]每亿美元国民生产总值能耗(标准煤),苏联为12.26万吨,美国为9.8万吨,日本为3.74万吨,而中国为21.11万吨[38]。分别是上述国家的1.72、2.15、5.64倍。价格低则导致对原材料的大量投入和浪费,进一步加剧了“短缺”,加剧了重工业发展不平衡。这些都是不利于重工业与国民经济发展的消极因素。
五、结语
1949—1956年,随着社会主义改造的完成和计划经济体制的建立,产品价格机制也随之完成了由市场向计划的转换。这种转换强化了政府配置资源的能力,为优先发展重工业战略提供了制度支持。但这种僵化的计划价格机制所制定的比价关系并不是稳定的,随着技术进步的冲击,广义技术进步快的产业成本不断下降,导致利润增大;而广义技术进步慢的产业利润相对增长缓慢甚至减少,这就导致了价格体系的扭曲。
我国在计划价格框架内虽然曾对这种扭曲进行过多次调整,但是由于信息反映和决策过程都比较缓慢,这种调整是不及时的。而且在优先发展重工业战略的前提下,偏低的基础产业产品价格可以促进机械工业的扩张,导致长期持续的需求旺盛,而且降低了整个工业发展的成本,实现了生产资料从生产到消费的内部循环,体现出生产资料优先增长的必要性,从而保证了优先发展重工业战略的实现。在优先发展重工业目标下,各部门为提高价格而相互博弈的结果也导致这种价格调整是不充分的。这种既不及时也不充分的价格调整无法从根本上解决价格的扭曲。另一方面,针对高度集中的定价机制导致的调整迟滞,我国曾进行了定价权力的下放。但是在普遍存在着短缺的条件下,虽然处于生产上游的技术进步慢的产业可以涨价,但是处于生产下游的技术进步快的产业涨价更高,这导致价格轮番上涨,价格体系进一步扭曲,于是就导致中央政府不得不对价格管理权限再次上收,价格机制又恢复高度集中的机制。于是陷入“一放就乱,一收就死”的体制变革循环怪圈。
在优先发展重工业战略下形成的计划价格机制,无论是通过价格调整还是放权式的改革,都无法从根本上解决价格体系扭曲的问题。这种价格机制不利于基础产业的生产,也不利于对基础产品的节约,加剧了“短缺”。这种为推进优先重工业发展建立起来的价格机制随着时间的推移越来越不能适应经济发展的需要。要优先快速发展重工业就需要计划价格,而计划价格却会带来价格扭曲,而不管运用价格调整还是放权改革都无法改变价格扭曲,最终又会不利于重工业及国民经济的发展。这也说明为什么我国计划经济体制在70年代后期难以为继,必须改革不可。直到1978年十一届三中全会以后,我国的经济体制和优先发展重工业战略都发生变化,价格改革才得以逐步完成,也才最终解决了价格扭曲这个制约我国经济发展30多年的难题。
注释:
[1]柳随年:《当代中国的物资流通》,当代中国出版社1993年版,第4页。
[2] 即政务院财政经济委员会,当时简称“中财委”。
[3]周太和:《当代中国的经济体制改革》,中国社会科学院出版社1984年版,第501页.
[4] 国家统一分配的物资称“统配物资”,这类物资一般属于关系国计民生最重要的物资,由国家计划委员会编制物资平衡计划和物资分配计划,报国务院批准后执行。中央各部统一分配的物资则称“部管物资”,这类物资属于国民经济中比较重要的物资,多数是专用性较强的产品或中间产品,这类物资的平衡计划和分配计划由主管部门编制,经部长批准并上报国家计划委员会备案后执行。“地方管理物资”,是指“统配物资”、“部管物资”以外的工业品生产资料,后来也称“三类物资”,这类物资品种繁多,生产分散,一般不宜远途运输和地区调拨,除少数品种由地方计划部门和物资部门平衡分配外,主要通过商业渠道或者企业自行销售。
[5] 参见柳随年:《当代中国的物资流通》,当代中国出版社1993年版,第7—12页。
[6]赵德馨主编、苏少之著:《中国经济通史》第十卷上,湖南人民出版社2002年版,第667—668页.
[7] 包括原油和成品油,原油属于采掘工业产品,成品油(如汽油、煤油、柴油等)属于加工工业产品。
[8]成致平:《中国物价五十年》,中国物价出版社1998年版,第96页。
[9]张卓元:《中国生产资料价格改革》,经济科学出版社1992版,第329页
[10]成致平:《中国物价五十年》,中国物价出版社1998年版,第86—87页。
[11]参见胡邦定:《当代中国的物价》,中国社会科学院出版社1989年版,第150—151页。
[12] 50年代经济发展战略的特点之一就是以高速度发展为首要目标,试图建立独立的工业体系,实行进口替代。
[13]《毛泽东文集》第7集,人民出版社1999年版,第31页。
[14] 《新中国若干物价专题史料》编写组:《新中国若干物价专题史料》,湖南人民出版社1986年版,第427页。
[15]成致平:《中国物价五十年》,中国物价出版社1998年版,第180页。
[16]成致平:《中国物价五十年》,中国物价出版社1998年版,第267页。
[17]参见《国务院关于物价管理的试行规定》,载全国物价委员会编:《(1962—1963)主要物价文件汇编》,1964年,第46—49页。
[18] 《刘岱峰同志在第一次全国物价会议上关于1963年重工业产品出厂价格调整方案的说明(草稿)》,载全国物价委员会编《(1962—1963)主要物价文件汇编》,1964年版,第300—301页。
[19] 《张翼飞同志在第三次全国物价会议上关于一九六五年中工业出场价格调整方案的说明》,载全国物价委员会编:《(1964—1965上半年)主要物价文件汇编》,1965年版,第513页。
[20]成致平:《中国物价五十年》,中国物价出版社1998年版,第269—270页。
[21][21]成致平:《中国物价五十年》,中国物价出版社1998年版,第270页。
[22]张卓元:《中国生产资料价格改革》,经济科学出版社1992年版,第332页
[23]《张翼飞同志在第三次全国物价会议上关于一九六五年中工业出场价格调整方案的说明》,载全国物价委员会编:《(1964—1965上半年)主要物价文件汇编》,1965年,第516页.
[24]成致平:《中国物价五十年》,中国物价出版社1998年版,第311页。
[25]张卓元:《中国生产资料价格改革》,经济科学出版社1992年版,第332—333页。
[26]柳随年:《当代中国的物资流通》,当代中国出版社1993年版,第36页。
[27] 参加胡邦定《当代中国的物价》,中国社会科学院出版社1989年版,第38—39页。
[28]由于重工业是资本密集型产业,而且当时我国资本存量比较低,资本的报酬递减倾向不明显,生产的多少更多取决于投资的增加。而这种投资不仅包括物质资本投资也包括人力资本投资。
[29] 对资本的严格假定有利于本文主旨的讨论,通过对资本增长速度相等的假定,可以看成在投入资本相同的情况下,利润的变动仅仅取决于价格的变化。
[30]上标“—”、“︵”、“—”、“︶”、“︿”分别表示价格不进行调整的时候、价格调整、价格调整不充分、价格调整既不即使也不充分的情况、放开价格的情况。
[31]因为在经济实际中,每个行业的利润率应该大体相等。在这里价格结构不合理主要通过考虑利润率是否相等来考察。由于我们已经假定了资本K不变,所以这时直接考虑 的变动。
[32] 参见:《全国物价委员会关于1964年中工业产品价格调整计划报告》全国物价委员会编:《(1964—1965上半年)主要物价文件汇编》,1965年版,第498—508页。
[33]成致平:《中国物价五十年》,中国物价出版社1998年版,第92页。
[34] 《薛暮桥同志在第一次全国物价会议上关于市场物价问题的报告》,载全国物价委员会编:《(1962—1963)主要物价文件汇编》,1964年版,第238—239页。
[35]按当时测算,成本提高由的31%来源于坑木及部分材料涨价,以及用电设备利用不足使动力费增加(其中价格因素占约一半)。引自:张翼飞同志在第三次全国物价会议上关于1965年重工业产品出场价格调整方案的说明,全国物价委员会编:《(1964—1965上半年)主要物价文件汇编》,1965年版,第514—515页。
[36] “大跃进”时期价格下放是经济权力下放的一部分,要进一步分析“一收就死,一放就乱”还应结合物资调拨体系的下放,企业管理权限的下放综合分析。对此的讨论已经超出了本文的范围,在此本文主要讨论价格下放的影响。
[37] 由于笔者未能找到1978年每亿元耗能的国际比较数据,故用1980年替代。
[38]仁武:《降低能耗 大有潜力》,《企业管理》1983年第8期。
(中共中央党校研究生院 100091;中国社科院当代中国研究所 100009)

